service.mypm.net
做每个项目,在前期策划中,都少不了工时估算的过程,因为这反应了整个项目的产出比,切身关系到整个项目的成本,以及相关方的利益,影响着是否能够在有限的时间内保质保量的完成项目,并进行最终交付。pmp.mypm.net
对于工时估计,大家都不陌生,因为这是整个项目组成员都要参与的事情,如果非要较真说:你的项目没有成员参与估计工时,那我觉得你的项目成功率会非常低。当然这也不是绝对的,可能奇迹再现了呢。bbs.mypm.net
那么问题来了,该如何进行工时估算呢,有没有具体的方法可以参照呢?答案是:当然有,通常我们可以采用Pert
Sizing法和类比法,那么这两种方法该如何进行呢,下面小编为你细化分解。项目管理者联盟
一、Pert Sizing法pmp.mypm.net
PertSizing方法基于概率和统计原理。它假定如果项目被执行了足够的次数并绘制了正态分布曲线,就可认为乐观、悲观和最可能的估计结果代表了该正态分布曲线的特性,利用它们就可以计算出分布均值。项目管理论坛
PertSizing法可用于估计项目的规模、工作量、成本及进度等。service.mypm.net
在估计每一项任务时,首先做出可能值M(Most
Likely)、乐观值O(Optimistic)、悲观值P(Pessimistic)的三种估计值。然后计算最终的估计值,其公式为:最终估计值=(乐观值+
4*可能值+悲观值)/6。项目管理者联盟

假设采用这种方法进行估计的人数为N,则N为1≤N≤5的整数, 估算时:项目管理者联盟文章
当N=1时:个人估计三个数,分别是可能值、悲观值与乐观值,代入公式计算。转自项目管理者联盟
当N=2时:则需要2人分别估算三个数值:悲观值、可能值、乐观值,然后分别计算这3个数值的平均值,再将悲观值、可能值、乐观值的平均值代入公式进行计算。项目管理者联盟
当3≤N≤5时,每个人估计1个数,对中间的N-2个数值取平均值作为可能值,代入公式计算。项目管理者联盟
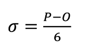
然后计算标准差,其公式为:项目管理者联盟文章

通过正态分布可以知道项目在某个范围内完成的概率。项目管理者联盟

项目管理者联盟
当然,这种方法适用于有相关技术经验的人员来进行估计,会相对来说比较准确一些,因为可以凭借自己的相关经验做出有效的估算;那么针对没有技术经验的人员来说,只能依靠历史的项目经验来做出有效的估算了,当然这都不是绝对的,因为做了项目经理,起码都是有实战经验的PM了。training.mypm.net
二、类比法项目管理者联盟
类比估算法(Analogous estimates),又称自顶向下估算法(Top down
estimates),是一种专家判断方法,是管理人员根据之前类似项目的历史资料,估算当前项目成本的方法。项目管理培训
类比法适合评估一些与历史项目在应用领域、环境和复杂度等相似的项目,通过新项目与历史项目的比较得到规模估计。项目管理者联盟
其基本步骤是:项目管理者联盟
1、列出项目功能和历史项目功能对照表,以及历史项目功能实现的代码行数;项目管理者联盟
2、考虑当前项目与历史项目各功能的相同点和不同点,特别要注意历史项目做得不够的地方。进行类比说明;项目管理者联盟文章
3、分别给出新增规模、复用规模和修改规模;具体可以按照如下进行估算:training.mypm.net
等价规模=新编规模+修改规模*修改系数X%;bbs.mypm.net
总规模=新编规模+复用规模+修改规模。talent.mypm.net
|